Tìm hiểu về các chỉ số trong bản tin dự báo thời tiết
Hình ảnh trạm thời tiết của Fasfartech
Một trạm thời tiết nhỏ gọn của Fasfartech
Hình ảnh trạm
![]() | ![]() |
|
|
Hình ảnh và video hoạt động của cảm biến mưa

Trạm thời tiết nhỏ gọn này của Fasfartech được trang bị các cảm biến để đo các thông số thời tiết như: nhiệt độ, độ ẩm, áp suất khí quyển, tốc độ gió, hướng gió, đo lượng mưa. Thiết bị còn được tích hợp USB3G dùng để nhắn tin và gọi điện đến các số máy quản lý khi có cảnh báo về môi trường.
Hộp thiết bị trung tâm có màn hình hiển thị các thông số đo được từ các cảm biến. Ngoài ta có thể lắp thêm đèn còi để phát cảnh báo.
App theo dõi thời tiết của Fasfartech
Để theo dõi thông tin thời tiết online, chúng ta có thể tải App thời tiết của Fasfartech. Trên App sẽ hiển thị các thông số thời tiết mà thiết bị đo được, đồng thời chúng ta còn có thể cài đặt để điều khiển các cổng in, out của thiết bị trung tâm.


Chúng ta cùng xem hình ảnh dự báo thời tiết trên trang web thời tiết:


Web dự báo thời tiết trong 10 ngày tới.
Khi nói tới điều kiện khí hậu, người ta phải đề cập đến nhiều yếu tố quan trọng, chứ không chỉ đơn thuần là nhiệt độ môi trường, đó là: nhiệt độ, độ ẩm, tốc độ gió và bức xạ nhiệt, chỉ số UV... Các yếu tố này có tác động qua lại chặt chẽ, có thể làm tăng hoặc giảm độ khắc nghiệt của môi trường xung quanh.
Cách đọc chỉ số nhiệt độ trong tin dự báo thời tiết
- Nhiệt độ là chỉ số quen thuộc và dễ hiểu nhất trong dự báo thời tiết. Nhiệt độ môi trường thuận cho cơ thể là 20 - 25 độ C. Với mức nhiệt này, cơ thể cảm thấy dễ chịu, hoạt động tối ưu mà không thấy hoặc có rất ít các rối loạn xảy ra.

Cơ thể có cảm giác nóng bức khi nhiệt độ từ 33 độ C trở lên. (Ảnh: CT Sinus Center).
- Nhiệt độ trung bình da ước chừng khoảng 33 độ C. Do đó, nếu như nhiệt độ môi trường từ 33 độ C trở xuống thì cơ thể có khả năng tỏa nhiệt ra ngoài và không thấy có cảm giác nóng bức. Nhưng nếu nhiệt độ môi trường từ 33 độ C trở lên, cơ thể sẽ tiếp nhận thêm nhiệt độ từ môi trường gây ra cảm giác nóng.
- Khi dự báo nhiệt độ môi trường, cơ quan dự báo thường thông báo 2 chỉ số thấp nhất (về đêm) và cao nhất (về trưa chiều). Con số cao nhất để dự đoán trước sức nóng cơ thể có thể phải chịu.
- Ngoài ra cũng cần chú ý, một số ứng dụng có bổ sung thêm nhiệt độ RealFeel – được hiểu là nhiệt độ thực tế (ngoài trời) có thể cao hơn hoặc thấp hơn nhiều so với mức nhiệt được dự báo. Sự chênh lệch nhiệt độ này là do tác động của các chỉ số khác như độ ẩm, gió, cường độ ánh nắng mặt trời…
Cách đọc chỉ số tia tử ngoại (UV) trong tin dự báo thời tiết
- Chỉ số tử ngoại (UV index) là số đo theo tiêu chuẩn quốc tế về cường độ tia cực tím chiếu lên bề mặt trái đất – nhằm đánh giá mức độ bức xạ cực tím tại một địa điểm cụ thể vào một ngày cụ thể.
- Chỉ số này nhằm khuyến cáo người dân các biện pháp phòng hộ phù hợp vì việc tiếp xúc quá nhiều với ánh sáng mặt trời sẽ gây bỏng nắng, tổn thương mắt như đục thủy tinh thể, lão hóa da, ức chế miễn dịch và ung thư da.

Nên che chắn kĩ khi ra đường trong ngày nắng gắt để bảo vệ da. (Ảnh: Anitasfeast).
- Chỉ số UV được tính từ 1 đến 11+, hiển thị từ thấp đến cao theo các màu xanh lục, vàng, cam, đỏ, tím và có kèm theo các khuyến cáo.

Các chỉ số UV được tính từ 1 đến 11+.
Cách đọc chỉ số độ ẩm trong tin dự báo thời tiết
- Độ ẩm là đại lượng vật lí đặc trưng cho mức độ có nhiều hay ít hơi nước trong không khí; là một đặc trưng quan trọng của thời tiết và khí hậu. Theo các nhà nghiên cứu độ ẩm trong không khí được chia làm 2 loại: độ ẩm tuyệt đối và độ ẩm tương đối.
- Độ ẩm tuyệt đối là hàm lượng hơi nước trong một đơn vị thể tích không khí tức là bao nhiêu mg nước/cm3 không khí. Nhưng trong thực tế độ ẩm tuyệt đối không thể hiện được điều gì cụ thể bởi nó không liên quan đến khả năng bay hơi của không khí.
- Độ ẩm tương đối được biểu diễn theo dạng phần trăm (%), độ ẩm tương đối 100% thể hiện rằng không khí chứa đầy hơi nước, tới trạng thái bão hòa.

Độ ẩm cao trong thời gian dài dễ dẫn đến nhiễm lạnh. (Ảnh: Blog - Reliance Home Comfort).
- Ở Việt Nam có khí hậu nhiệt đới ẩm, độ ẩm tương đối có khi rất cao (90 - 100%). Độ ẩm cao cũng làm khả năng thoát mồ hôi kém đi, cơ thể trở nên nặng nề, mệt mỏi, thiếu sức sống, nếu diễn ra trong thời gian dài sẽ dẫn đến nhiễm lạnh, cảm cúm…
- Ở nơi có độ ẩm cao (mưa nhiệt đới) không khí thường xuyên ẩm ướt chứa mật độ vi khuẩn rất cao có thể gây khó chịu cho con người, gây ẩm mốc, làm bong tróc giấy dán tường... đây chính là tác nhân gây nên những bệnh về hô hấp khó thở, sốt xuất huyết, bệnh tiêu hóa đối với cả người và động vật. Độ ẩm cao cũng ảnh hưởng tới hoạt động của các thiết bị điện, điện tử.
- Ngược lại, nhiệt độ tăng, thời tiết ấm dần lên, độ ẩm trong không khí sẽ giảm xuống mức nhất định. Khi độ ẩm xuống quá thấp (vùng cực, sa mạc, núi cao) con người sẽ bị thiếu nước dẫn đến da khô, nứt nẻ khó chịu… sức để kháng của động thực vật cũng giảm hơn.
- Cả độ ẩm thấp và độ ẩm cao cũng có tác hại nhất định đến đời sống con người, vì thế việc duy trì độ ẩm ở mức thích hợp là điều hết sức cần thiết.
- Theo các nhà nghiên cứu, độ ẩm lý tưởng nhất, khiến con người cảm thấy sảng khoái là khoảng 50-60%, quá trình thoát mồ hôi xảy ra tốt hơn, con người cảm thấy thoải mái, tinh thần sảng khoái hơn.
Nhiệt độ điểm sương (dew point)
- Nhiệt độ điểm sương là gì mà lại quan trọng như vậy? Ảnh hưởng của nó đến với môi trường và con người là gì? Ứng dụng của dew point vào cuộc sống hằng ngày là gì? Tính toán nó như thế nào? Hãy cùng Siêu Tính tìm hiểu nhé
Điểm sương là gì?
- Điểm sương (hay còn gọi là dew point) là điểm nhiệt độ mà khi đó không khí mát bắt đầu hòa làm một với hơi nước. Nhiệt độ càng xuống thấp, hơi nước trong không khí sẽ càng dày đặc và cuối cùng tạo nên giọt sương khi nó vượt qua điểm đọng sương của môi trường.
- Chúng ta dễ dàng nhận thấy điểm sương khi không khí tiếp xúc với bề mặt lạnh hơn nó, hơi nước sẽ tích tụ ở trên bề mặt như ta thường thấy ở cốc nước đá.
- Vai trò của việc xác định nhiệt độ điểm sương là để biết được độ ẩm không khí trong môi trường. Từ đó quyết định sự ảnh hưởng của môi trường đến con người và vật dụng xung quanh.
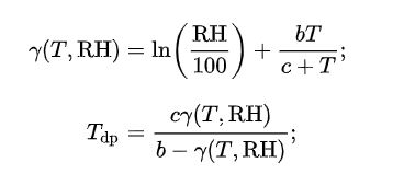
Công thức tính nhiệt độ điểm sương:
Công thức Magnus:

Công thức tính nhiệt độ điểm sương
Trong đó:
· RH là độ ẩm tương đối (relative humidity)
· T là nhiệt độ không khí
Kết quả sẽ cho ra nhiệt độ điểm sương ở thang đo Celsius
- Bên cạnh công thức tính, chúng ta có thể tính toán bằng công cụ online hoặc tra nhiệt độ đọng sương.
Tính bằng công cụ online
- Bạn chỉ cần nhập vào nhiệt độ môi trường hiện tại (T), và % độ ẩm tương đối trong không khí (%RH), bạn có thể biết được nhiệt độ mà không khí chuyển hóa thành sương.

Cách tính nhiệt độ điểm sương online
Tra nhiệt độ đọng sương bằng bảng tra cứu
- Chúng ta có thể tạm tính các trị số tương đối của môi trường qua các mức nhiệt độ chuẩn ở trong bảng tra cứu:

Bảng tra nhiệt độ đọng sương
- Ngoài việc cung cấp thông tin về nhiệt độ hóa lỏng của không khí, bảng tra nhiệt độ đọng sương còn biểu thị mức độ thoải mái của con người trong từng vùng nhiệt độ.
Ảnh hưởng của nhiệt độ điểm sương:
- Nhiệt độ từ 40°F - 54°F là thoải mái với con người. Từ 55°F - 60°F được xem là không khí ẩm và trên 60°F gây khó chịu hoặc thậm chí nguy hiểm cho con người vì không khí sẽ chứa nhiều hơi nước, ảnh hưởng đến quá trình hô hấp.
Ứng dụng của nhiệt độ điểm sương:
Trong dự báo thời tiết
- Trước khi áp dụng điểm sương, các chương trình dự báo thời tiết sử dụng chỉ số độ ẩm tương đối. Điều này gây bất lợi trong việc xác định trạng thái không khí vì nó là sự đo lường kết hợp giữa nhiệt độ và độ ẩm.
- Trong vài thập niên gần đây, người ta dần ưa chuộng và thay thế độ ẩm không khí bằng nhiệt độ điểm sương vì nó có thể tính toán trực tiếp mức độ ẩm trong không khí.
Sự liên hệ giữa điểm sương và độ ẩm tương đối
- Điểm lợi của tính toán dew point là nó cho ta thấy được nhiệt độ mà không khí cần đạt để bão hòa hoàn toàn với nước (đạt 100% độ ẩm tương đối).
- Độ ẩm tương đối sẽ tăng vào buổi tối khi nhiệt độ không khí hạ thấp dần đến nhiệt độ điểm sương. Ngược lại, khi nhiệt độ tăng, độ ẩm tương đối sẽ giảm.
- Nhiệt độ điểm sương đóng vai trò báo hiệu mức độ ẩm hiện tại ở môi trường qua đó quyết định sự thoải mái của con người bên trong đó.
- Ở mức điểm sương 40 độ F - vùng thoải mái - thì bạn sẽ luôn cảm thấy dễ chịu cho dù không khí ở mức 60°F hoặc 100°F.
- Đây là cột mốc để người dự báo thời tiết xác định môi trường bên ngoài ngột ngạt hay thoải mái đối với con người.
- Khi nhiệt độ không khí cao, cơ thể con người sẽ tiết mồ hôi để làm mát, tốc độ làm mát sẽ phụ thuộc vào tốc độ tiết hơi nước ra bên ngoài. Sự tiết mồ hôi cơ thể lại bị ảnh hưởng bởi độ ẩm trong không khí. Nếu không khí bão hòa với hơi nước (%RH = 100%) thì mồ hôi được tiết ra sẽ không bị bay hơi.
- Cơ thể của bạn sẽ luôn sản sinh ra những giọt mồ hôi để giữ thân nhiệt ở mức bình thường, ngay cả khi tốc độ sinh ra lớn hơn tốc độ bay hơi. Khi đó bạn có thể chảy mồ hôi ở cả những ngày thời ẩm mà không cần sinh ra nhiệt. Bạn sẽ có cảm giác khó chịu và “dính” bởi sự bay hơi diễn ra chậm hơn với sự tiết mồ hôi, việc này cũng đồng thời ngăn cơ thể bạn làm mát.
Ứng dụng trong công nghệ
- Hiện nay, dew point được áp dụng trong các máy điều hòa. Nhờ vậy, môi trường trong văn phòng, nhà ở được điều chỉnh ở quanh vùng thoải mái để con người có thể sinh hoạt và làm việc hiệu quả.
- Tóm lại: Nhiệt độ không khí càng gần nhiệt độ điểm sương thì không khí càng ẩm và ngược lại. Nhiệt độ điểm sương càng cao biểu hiện cho môi trường nóng ẩm hoặc lạnh ẩm, dễ gây hư hại đồ vật và gây khó chịu cho con người.
Áp suất khí quyển
Link cảm biến đo thời tiết: http://fasfartech.vn/cambienthoitiet
- Áp suất khí quyển là gì? Bạn đã từng nghe tới cụm từ này nhưng còn chưa thực sự hiểu ý nghĩa cũng như bản chất của áp suất khí quyển để bổ sung những kiến thức bổ ích trong cuộc sống cũng như ứng dụng chúng trong học tập, công việc thì cùng Wisevietnam tìm hiểu qua bài viết dưới đây nhé.
Áp suất khí quyển là gì?
- Trước khi tìm hiểu định nghĩa về áp suất khí quyển là gì, chúng ta cùng tìm hiểu về áp suất và khí quyển trước nhé.
Áp suất là gì?
- Áp suất thường được kí hiệu là P có nghĩa là Pressure trong tiếng Anh. Áp suất là một áp lực tồn tại dưới các dạng rắn, lỏng, khí tác động theo chiều vuông góc với bề mặt của vật thể trong một không gian xác định.

Đơn vị phổ biến và dễ dàng nhất mà người ta thường dùng để tính áp suất là N/m2.
Khí quyển là gì?
- Khí quyển thường được biết đến là lớp khí bao trùm xung quanh bề mặt Trái Đất và được giữ lại bởi lực hấp dẫn. Bầu khí quyển bao gồm các thành phần như khí Nitơ, khí Oxi và một số chất khác.

Khí quyển là gì?
Áp suất khí quyển là gì?
- Áp suất khí quyển là gì? Áp suất khí quyển được hiểu đơn giản là áp suất của không khí tác động lên bề mặt Trái Đất. Áp suất khí quyển cũng tượng trưng cho trọng lượng của lớp không khí bao quanh và tác động lên toàn bộ Trái Đất, chính là không khí mà chúng ta vẫn hít thở hàng ngày để duy trì sự sống, lớp khí quyển này dày tới hàng ngàn ki lô mét.

- Vì áp suất khí quyển là áp suất của không khí nên chúng có thể len lỏi khắp mọi bề mặt và phương hướng, không bị hạn chế như áp suất chất lỏng hay rắn. Càng lên cao, trọng lượng không khí càng nhẹ bởi không khí sẽ loãng dần.
Các yếu tố ảnh hưởng đến áp suất khí quyển là gì?
- Một số yếu tố có khả năng ảnh hưởng đến áp suất khí quyển có thể kế đến như: gió, nhiệt độ, độ cao, khí hậu, thời gian, thời tiết,.. của mỗi khu vực khác nhau.

Các yếu tố ảnh hưởng đến áp suất khí quyển
- Dựa vào vị trí địa lý, khí hậu và độ cao của từng khu vực mà người ta có thể đo được chất lượng không khí khác nhau, áp suất khí quyển cũng khác nhau.
- Vì áp suất bị tác động bởi nhiều yếu tố khác nhau nên để có số liệu chính xác thì nên thực hiện đo và thí nghiệm ở nhiều độ cao khác nhau.
Công thức tính áp suất khí quyển là gì?
- Áp suất khí quyển được tính thông qua đơn vị đo mmHg (Milimet thuỷ ngân) là đơn vị tính của quốc tế.

Trong đó:
-
-
-
-
-
-
-
-
-
-
- P: Độ lớn áp suất khí quyển (mmHg)
- F: Lực tác động của áp suất (N)
- S: Diện tích bề mặt tiếp xúc (m2)
-
-
-
-
-
-
-
-
-
Dựa vào đó, công thức tính áp suất khí quyển có dạng: P = F/S.
Với:
- P là độ lớn áp suất khí quyển với các đơn vị tính là mmHg, Bar, Psi, N/m2
- F là lực tác động lên trên bề mặt xác định với đơn vị tính là N.
- S là diện tích của bề mặt xác định chịu lực ép từ không khí với đơn vị tính là m2
Một số đơn vị đo áp suất được quy đổi như sau:
1Pa = 760 mmHg = 1 N/m2
1mmHg = 133,322 N/m2
1Pa = 10-5 Bar
Một số ví dụ thực tế về áp suất khí quyển
- Nếu bạn đã từng đi máy bay thì bạn sẽ cảm nhận được áp suất khí quyển rõ ràng nhất khi máy bay bay lên và hạ cánh xuống. Minh chứng là bạn sẽ cảm thấy ù tai, đau tai và có thể hơi choáng váng với một số người thể trạng không tốt khi áp suất bên trong máy bay bị thay đổi đột ngột.

- Một ví dụ thực tế khác về áp suất khí quyển rất gần gũi với chúng ta đó chính là các bình nước lọc 20l mà chúng ta vẫn thường sử dụng trong sinh hoạt. Trên nắp các bình này thường có một lỗ rất nhỏ vừa đủ để không khí thoát bớt ra ngoài, giảm áp suất trong bình giúp việc lấy nước dễ dàng hơn.
Gió
Link cảm biến đo thời tiết: http://fasfartech.vn/cambienthoitiet
Gió gồm có hướng gió và tốc độ gió:
Hướng gió: Hướng gió là hướng mà từ đó gió thổi tới.
- Trong bản tin dự báo hướng gió theo la bàn 8 hướng gồm: Đông, Tây, Nam, Bắc, Tây Bắc, Tây Nam, Đông Bắc, Đông Nam .
Tốc độ gió: Tốc độ gió được xác định trong vòng 2 phút quan trắc.
Khái niệm về cấp gió: tốc độ gió được giới hạn từ bao nhiêu m/s hay km/h… đến bao nhiêu là một cấp gió.
Dự báo tốc độ gió theo bảng cấp gió Beaufort (bôpho) sau:
BẢNG CẤP GIÓ BÔPHO
|
Cấp gió |
Tốc độ gió | Độ cao sóng trung bình |
Mức độ nguy hại | |
| Bô-pho | m/s | km/h | m | |
| 0 | 0 - 0.2 | <1 | - | - Gió nhẹ. |
| 4 | 5,5 - 7,9 | 20 - 28 | 1,0 | - Cây nhỏ có lá bắt đầu lay động. ảnh hưởng đến lúa đang phơi màu |
| 6 | 10,8 - 13,8 | 39 - 49 | 3,0 | - Cây cối rung chuyển. Khó đi ngược gió. |
| 8 | 17,2 - 20,7 | 62 - 74 | 5,5 | - Gió làm gãy cành cây, tốc mái nhà gây thiệt hại về nhà cửa. Không thể đi ngược gió. |
| 10 | 24,5 - 28,4 | 89 - 102 | 9,0 | - Làm đổ cây cối, nhà cửa, cột điện. Gây thiệt hại rất nặng. |
| 12 | 32,7 - 36,9 | 118 - 133 | 14,0 | - Sức phá hoại cực kỳ lớn. |
Mưa:
Link cảm biến đo mưa: http://fasfartech.vn/thietbidomua
Đơn vị đo mưa được tính bằng mm có nghĩa là trên 1 đơn vị diện tích có 1 lít nước mưa rơi xuống hoặc trên đơn vị diện tích đó lớp nước mưa có bề dày 1mm.
Khi ta nghe bản tin dự báo thời tiết có phần lượng mưa tại một nơi nào đó là 1.0mm thì có nghĩa là ở nơi đó trên 1m2 diện tích có 1 lít nước mưa rơi xuống.
Dự báo mưa gồm có 2 phần: dự báo diện mưa và dự báo lượng mưa.
Thuật ngữ trong dự báo diện mưa:
- Mưa vài nơi: nghĩa là mưa chỉ xảy ra dưới 1/3 diện tích khu vực dự báo (KVDB).
- Mưa rải rác: nghĩa là diện mưa xảy ra từ 1/3 đến 2/3 diện tích KVDB.
- Mưa nhiều nơi: nghĩa là diện mưa xảy ra trên 2/3 diện tích KVDB.
Thuật ngữ trong dự báo lượng mưa:
- Mưa nhỏ, lượng mưa không đáng kể: lượng mưa < 0,3 mm/12 giờ.
- Mưa nhỏ: lượng mưa < 3.0mm/12 giờ hoặc < 6.0mm/24 giờ.
- Mưa: lượng mưa từ 3.0mm đến dưới 8.0mm/12giờ hoặc 6.0-15.0mm/24 giờ.
- Mưa vừa: lượng mưa từ 8.0-25.0mm/12giờ hoặc khoảng 16.0- 50.0mm/24giờ.
- Mưa to: lượng mưa từ 25.0-50.0mm/12giờ hoặc 51.0-100.0mm/24giờ.
- Mưa rất to: lượng mưa trên 50.0mm/12 giờ hoặc trên 100.0mm/24 giờ.
Ví dụ: Khi nghe bản tin DBTT có đoạn: “Khu vực phía Đông tỉnh An Giang có mưa nhiều nơi, có nơi mưa vừa đến mưa to,…”, ta có thể hiểu là: khả năng mưa sẽ xảy ra trên 2/3 diện tích khu vực phía Đông tỉnh An Giang và trong đó sẽ có nơi mưa từ 8.0-25.0mm trong 12giờ hoặc có thể đến trên 25.0-50.0mm trong 12giờ.
Hoặc: “Khu vực phía Đông tỉnh An Giang có mưa vài nơi, mưa nhỏ, lượng mưa không đáng kể” thì ta hiểu là: Khả năng mưa xảy ra chỉ dưới 1/3 diện tích ở khu vực phía Đông tỉnh An Giang, lượng mưa dưới 0,3mm trong 12 giờ.
- Mưa và dông, mưa dông hay mưa và có lúc có dông với lượng mưa từ 3.0mm - 25.0mm/12giờ và kèm theo dông.
- Mưa vừa và dông hay mưa vừa và có lúc có dông với lượng mưa từ 8.0mm - 25.0mm/12giờ và kèm theo dông.
- Mưa to và dông hay mưa to và có lúc có dông với lượng mưa từ 25.0mm - 50.0mm/12giờ và kèm theo dông.
- Mưa rất to và dông hay mưa rất to và có lúc có dông với lượng mưa trên 50.0mm/12giờ và kèm theo dông.
BẢNG CẤP MƯA VÀ DẠNG MƯA
| TT | Cấp mưa | Lượng mưa 12h R(mm)/12h | Ghi chú |
| 1 | Không mưa | Không mưa | Không mưa (-) |
| 2 | Mưa nhỏ lượng mưa không đáng kể | Giọt ≤ R ≤ 0.3 | |
| 3 | Mưa nhỏ | 0.3 < R ≤ 3.0 |
Không tính thời gian mưa xảy ra liên tục hay ngắt quãng |
| 4 | Mưa | 3.0 < R ≤ 8.0 | |
| 5 | Mưa vừa | 8.0 < R ≤ 25.0 | |
| 6 | Mưa to | 25.0< R≤ 50.0 | |
| 7 | Mưa rất to | R > 50.0 | |
| 8 | Mưa rào nhẹ, mưa rào nhẹ và dông | Giọt ≤ R ≤ 3.0 | Mưa bất ổn định dạng rào có hoặc không kèm theo dông. |
| 9 | Mưa rào, mưa rào và dông, mưa dông | 3.0 < R ≤ 25.0 | |
| 10 | Mưa phùn | Giọt < R ≤ 3.0 | Mưa ổn định, xảy ra liên tục hoặc ngắt quãng |
| 11 | Dông | Dông, chớp | Dông có thể báo kèm với mưa bất ổn định |
Mây:
Dự báo mây là dự báo phần bầu trời bị mây che phủ (bầu trời được chia làm 10 phần).
| TT | Thuật ngữ | Giải thích |
| 1 | Quang mây | Toàn bộ bầu trời không có mây trong suốt khoảng thời gian dự báo hay quá 6h liên tục, những giờ khác có mây nhưng lượng mây thấp phải ít hơn 5/10 bầu trời. |
| 2 | Ít mây | Lượng mây thấp không quá 5/10 bầu trời, không kể mây trung, mây cao mỏng, mây thấu quang. |
| 3 | Mây thay đổi | Lượng mây tổng quan có thể dao động nhưng nói chung phổ biến ở mức 4/10 đến 8/10 bầu trời. Thuật ngữ này chỉ sử dụng trong trường hợp không khí bất ổn định trong mùa hè. |
| 4 | Nhiều mây | Lượng mây tổng quan có thể dao động nhưng nói chung thường xuyên trên 5/10 bầu trời. |
| 5 | Đầy mây | Lượng mây tổng quan dao động thường xuyên từ 8/10 đến 10/10 bầu trời. |
| 6 | Âm u | Lượng mây tổng quan thường xuyên 10/10 bầu trời nhưng đôi khi có thể giảm xuống 7/10 bầu trời. |
Nồng độ bụi
Bụi là những hạt vật chất rất nhỏ tồn tại lơ lửng ở trong không khí ở thể rắn, lỏng hoặc khí. Có những loại bụi siêu nhỏ mà mắt thường không thể nhìn thấy được. Chúng có ảnh hưởng nghiêm trọng tới đời sống cũng như sức khỏe của con người.
Nồng độ bụi là đại lượng cho biết lượng bụi có trong không khí ở một thời điểm nhất định tại khu vực đo. Nồng độ bụi càng cao thì chứng tỏ càng có nhiều bụi trong không khí và ngược lại. Nồng độ bụi tăng khi không khí bị tù đọng, ít gió dẫn tới không khí ít được hòa trộn. Khói bụi không được gió thổi đi và không khí ô nhiễm cũng không bị mang từ nơi khác đến.

Nồng độ bụi là gì?
Ô nhiễm bụi khi nào?
Hiện nay nồng độ bụi pm 2.5 ngày càng tăng cao tăng gấp 4 lần mức cho phép gây tác hại rất lớn tới sức khỏe của con người và các loài sinh vật khác, gây biến đổi khí hậu, giảm tầm nhìn…. Có rất nhiều nguyên nhân dẫn đến ô nhiễm bụi như:
· Khí thải từ các phương tiện giao thông cơ giới, đặc biệt có nhiều phương tiện giao thông cũ không đảm bảo tiêu chuẩn về khí thải.
· Hoạt động xây dựng các công trình mới, sửa chữa và cải tạo đường giao thông nhưng không nghiêm túc che chắn bụi tại các công trường và xe tải chở vật liệu, phế thải xây dựng, không rửa xe trước khi ra khỏi công trường.
· Sử dụng bếp than tổ ong trong đun nấu hàng ngày hoặc trong hoạt động kinh doanh.
· Đốt rơm rạ, đốt rác có chứa chất thải nguy hại tại các địa phương.
· Khí thải phát sinh từ những cơ sở sản xuất công nghiệp.
· Ảnh hưởng của khí hậu, thời tiết, nhất là vào thời điểm giao mùa gây ra hiện tượng nghịch nhiệt.
Nồng độ bụi cho phép trong không khí

Chỉ số chất lượng bụi trong không khí
Ngày nay để biết được nồng độ bụi cho phép trong không khí là bao nhiêu thì người ta sử dụng chỉ số AQI để tính toán. Chỉ số này sẽ cho biết được mức độ ảnh hưởng của ô nhiễm bụi đến sức khỏe và đưa ra những khuyến nghị với mọi người. Sau đây là bảng khoảng giá trị theo từng cấp độ ảnh hưởng tính theo AQI mà bạn có thể tham khảo:
| Khoảng giá trị AQI | Chất lượng không khí | Màu sắc | Mã màu RBG | Ảnh hưởng tới sức khỏe |
| 0 – 50 | Tốt | Xanh | 0;228;0 | Chất lượng không khí ở mức tốt, mọi hoạt động diễn ra bình thường và không làm ảnh hưởng tới sức khỏe và đời sống. |
| 51 – 100 | Trung bình | Vàng | 255;255;0 | Chất lượng không khí có thể chấp nhận được. Tuy nhiên, ở khoảng giá trị này thì những đối tượng nhạy cảm như: trẻ em, người già, người bị mắc các bệnh và đường hô hấp, tim mạch…vẫn sẽ có thể bị một số tác động nhất định ảnh hưởng tới sức khỏe. |
| 101 – 150 | Kém | Da cam | 255;126;0 | Trong khoảng này thì những người bình thường sẽ ít bị ảnh hưởng. Còn đối tượng nhạy cảm sẽ gặp phải một số vấn đề về sức khỏe. |
| 151 – 200 | Xấu | Đỏ | 255;0;0 | Những đối tượng là người bình thường bắt đầu có dấu hiệu ảnh hưởng đến sức khỏe. Nhóm người thuộc đối tượng nhạy cảm sẽ gặp những vấn đề nghiêm trọng hơn về sức khỏe. |
| 201 – 300 | Rất xấu | Tím | 143;63;151 | Cảnh báo hưởng: tất cả mọi đối tượng đều có thể sẽ bị ảnh hưởng tới sức khỏe nghiêm trọng hơn. |
| 301-500 | Nguy hại | Nâu | 126;0;35 | Cảnh báo khẩn cấp: Toàn bộ dân số đều sẽ bị ảnh hưởng tới mức nghiêm trọng về sức khỏe. |
Cách đo độ bụi trong không khí
http://fasfartech.vn/cambienthoitiet
Sử dụng trạm đo thời tiết của Fasfartech đã được tích hợp đầy đủ đo được 8 thông số trong đó có chỉ số độ bụi PM2.5 và PM10.



